EFOX T801

Monomerlerin polimerizasyonunda başlatıcı olarak kullanılır, Örn. etilen, stiren, akrilat ve metakrilatlar. Stirenin polimerizasyon ve ko-polimerizasyonu sırasında genellikle 95-125°C arasındaki sıcaklıklarda uygulanabilir. Akrilat ve metakrilat çözeltilerinin birlikte polimerizasyonu için 130-170°C arası sıcaklıklarda uygulanabilir.

EFOX T801
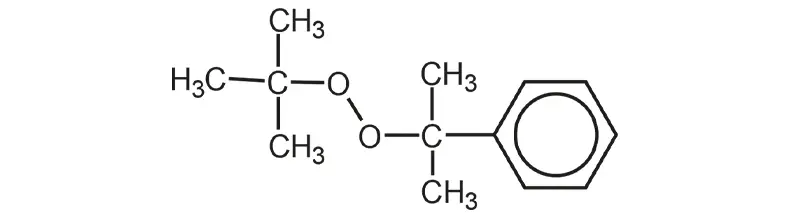
Kimyasal Adı
Tert-Buty Cumyl Peroxide
CAS UN EINECS/ELINCS ACRONYM
3457-61-2 3109 222-389-8 TBCUP
AO (%) ASSAY (%) SADT (°C) DILUENT
7,22 - 7,39 94,0 - 96,0 80 -
VISCOSITY DENSITY APPEARANCE PE PAIL
4 (@20° C) 0,940 ± 0,005 (@20°C) Liquid 25 kgs
CARTON BARREL STORAGE TEMP. SHELF LIFE
- - Max. +40 3 M
COLOR METAL CONTENT SOLİD CONTENT
Colorless - -
ÖZELLİKLER

Monomerlerin polimerizasyonunda başlatıcı olarak kullanılır, Örn. etilen, stiren, akrilat ve metakrilatlar. Stirenin polimerizasyon ve ko-polimerizasyonu sırasında genellikle 95-125°C arasındaki sıcaklıklarda uygulanabilir. Akrilat ve metakrilat çözeltilerinin birlikte polimerizasyonu için 130-170°C arası sıcaklıklarda uygulanabilir.