EFOX 90

120-170°C sıcaklık aralığında doymamış polyester reçine esaslı formülasyonların (SMC, DMC, BMC vb.) sertleştirilmesi için kullanılır. Daha düşük işlemede polimerlerin ve elastormerlerin daha hızlı çapraz bağlanmasını sağlar.

EFOX 90
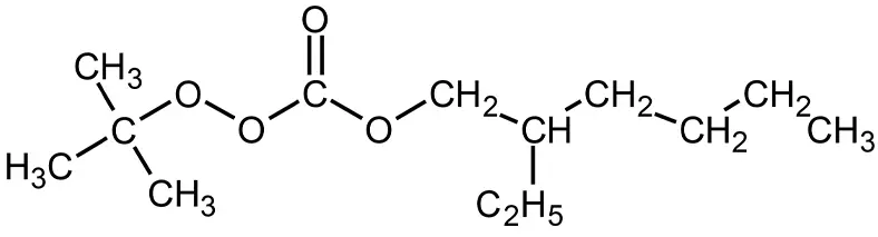
Kimyasal Adı
Tert-Butyl Peroxy 2-Ethylhexyl Carbonate
CAS UN EINECS/ELINCS ACRONYM
34443-12-4 3105 252-029-5 TBPEHC
AO (%) ASSAY (%) SADT (°C) DILUENT
Min 6,17 Min. 95,0 60 -
VISCOSITY DENSITY APPEARANCE PE PAIL
5,8 (@20° C) 0,930 ± 0,005 (@20°C) Clear Liquid 25 kgs
CARTON BARREL STORAGE TEMP. SHELF LIFE
- - (-20) / (+20) 3M
COLOR METAL CONTENT SOLİD CONTENT
Colorless - -
ÖZELLİKLER

120-170°C sıcaklık aralığında doymamış polyester reçine esaslı formülasyonların (SMC, DMC, BMC vb.) sertleştirilmesi için kullanılır. Daha düşük işlemede polimerlerin ve elastormerlerin daha hızlı çapraz bağlanmasını sağlar.