AKPEROX BU50

Stiren, vinilasetat, akrilatlar ve metakrilatların (ko)polimerizasyonu sırasında 100-140°C arasındaki sıcaklıklarda başlatıcı olarak kullanılır. Etilenin değişik derecelerde aktiviteye sahip diğer peroksitler ile kombinasyon halinde yüksek basınçlı polimerizasyonları için 200-250°C arasındaki sıcaklıklarda uygulanabilir.

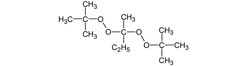
AKPEROX BU50
Kimyasal Adı
2,2-Di-(Tert-butylperoxy)-Butane
CAS UN EINECS/ELINCS ACRONYM
2167-23-9 3103 218-507-2 BU
AO (%) ASSAY (%) SADT (°C) DILUENT
6,69 - 6,97 49,0 - 51,0 70 Isododecane
VISCOSITY DENSITY APPEARANCE PE PAIL
2 (@20° C) 0,81 ± 0,005 (@20° C) Liquid 20 kgs
CARTON BARREL STORAGE TEMP. SHELF LIFE
- - (-15) / (+30) 6 M
COLOR METAL CONTENT SOLİD CONTENT
Colorless - -
ÖZELLİKLER

Stiren, vinilasetat, akrilatlar ve metakrilatların (ko)polimerizasyonu sırasında 100-140°C arasındaki sıcaklıklarda başlatıcı olarak kullanılır. Etilenin değişik derecelerde aktiviteye sahip diğer peroksitler ile kombinasyon halinde yüksek basınçlı polimerizasyonları için 200-250°C arasındaki sıcaklıklarda uygulanabilir.